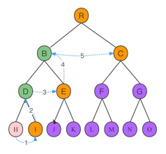
شجرة ميركل هي هيكل بيانات شبيه بشجرة ثنائية تجزئة. في الشجرة الثنائية، يمكن للعقدة أن تحتوي على حد أقصى من عقدتين فرعيتين — عقدة يسارية وعقدة يمينية. كل عقدة ورقية في شجرة ميركل تخزن قيمة التجزئة لعنصر البيانات. عندما نعرف بيانات العقدة اليسارية والعقدة اليمينية، نستطيع حساب المعلومات الكاملة للعقدة الأصل. تتكون هذه المعلومات الشاملة من قسمين: بيانات الرصيد الخاصة بعنوان المحفظة، وبيانات التجزئة.
1. بيانات الرصيد: استنادًا إلى هيكل بيانات الشجرة الثنائية، يمكن أن تتكون بيانات الرصيد للعقدة الأصل فقط من بيانات الرصيد لكل من العقدتين اليسرية واليمينية تحتها.
2. بيانات التجزئة: يشمل كل عقدة بيانات الرصيد، البيانات الهرمية للشجرة الثنائية (الخط المنقط في الشكل) وبيانات الهاش للعقد الفرعية (تُخزن بيانات العقدة اليسرى والعقدة اليمنى تحت كل عقدة).

يتم التحقق من شجرة ميركل من خلال الحساب، مثل الأجزاء الخضراء (B وD) المحسوبة في الصورة أعلاه، ومن خلال المعيارين التاليين:
1. التحقق من ما إذا كان الرصيد يستوفي مبدأ التقسيم.
2. التحقق من ما إذا كان الهاش قانونيًا.
تستخدم شجرة ميركل دالة هاش، مما يسمح للمستخدمين بالتحقق مما إذا كانوا جزءًا من الشجرة الكاملة دون معرفة المعلومات الموجودة في العقد الأرجوانية. دلائل ميركل فريدة للمستخدمين الفرديين. في حالة شجرة ميركل ذات 24 مستوى، يحتاج المستخدمون إلى مصفوفة رصيد بطول 24 عنصرًا للتحقق من معلومات رصيدهم، وتُستخدم هذه المصفوفة فقط للتحقق من رصيد المستخدم.
طالما أن البيانات التي تم الحصول عليها من قبل المستخدمين لا تتجاوز 50% من إجمالي بيانات المستخدمين في شجرة ميركل، لا يمكن للمستخدمين إعادة إنشاء البنية الكاملة للبيانات بناءً على معلوماتهم المجزأة. لذلك، بالنسبة للشركة، تضمن شجرة ميركل عدم تسرب معلومات أصول الشركة بالكامل، وحماية خصوصية حسابات المستخدمين.
توفر Bybit طريقتي تحقق كما يلي:
التحقق عبر منصة Bybit
يمكنك زيارة هذه الصفحة للدخول إلى صفحة التحقق من حسابي وعرض مسار ميركل الخاص بك. نحن نعرض بشكل رسومي عملية اشتقاق العقد للتحقق من شجرة ميركل لتسهيل عرض أرصدة الأصول الخاصة بك.

ملاحظة: نُجري تدقيقًا منتظمًا لإثبات الاحتياطيات لنبين أن Bybit تمتلك احتياطيات كافية. إذا قمت بإنشاء حسابك بعد إجراء تدقيق أو لم تكن تمتلك رموزًا تم تدقيقها، فلن يكون هناك أي سجلات تدقيق مطابقة لحسابك.[1] [2]
عبر أداة التحقق الذاتي — كود المصدر المفتوح
قامت Bybit بنشر كود مصدر إنتاج شجرة ميركل وكود التحقق على GitHub لمساعدة المستخدمين في عملية التحقق من الأرصدة الخاصة بهم. تشمل عملية حساب شجرة ميركل حساب كمية كبيرة من بيانات المستخدمين، والتي تُنفذ عادة بواسطة البيانات الضخمة وJava. كود Java مفتوح بالكامل للمستخدمين ليمحصوه.
الخلفية
قامت Bybit بإتاحة الشفرات المصدرية التالية للاستخدام الاحترافي للتحقق الذاتي. يمكن للمستخدمين النقر على نسخ البيانات من صفحتهم إثبات الاحتياطي لنسخ البيانات إلى ملف إثبات شجرة Merkle في نظام البرمجة الخاص بهم وحفظه كملف باسم myProof.json على محرك الأقراص المحلي.
كيفية المتابعة
1. إنشاء ملفك التنفيذي
يرجى تنزيل أحدث ملفات الشفرة المصدرية، والتأكد من أن JDK (الإصدار 1.8 وما بعده) وMaven مثبتان في محطة العمل أو اللابتوب الخاص بك.
● حل التبعيات والبرمجة والحزم

● تحقق من الحزمة jar المترجمة، كما يلي، في المجلد الحالي للمشروع

2. قم بإجراء التحقق الخاص بك
● يمكنك لصق ملف الإثبات الذي نسخته من موقع Bybit في ملف جديد في المجلد الحالي، وقم بتسمية الملف myProof.json. ثم، قم بتنفيذ الأمر التالي:

● بعد ذلك، يمكنك تشغيل البرنامج الذي تم التحقق منه ومراقبة بيانات الخرج.

